
导语
2026年是“十五五”规划开局之年,也是为2035年基本实现社会主义现代化夯实基础的关键时期。宏观政策明确转向“更加积极有为”:政府工作报告提出继续实施更加积极的财政政策与适度宽松的货币政策,并将“物价合理回升”纳入货币政策重要目标。面对内需不足、新旧动能转换、低利率环境等多重挑战,本轮调控的核心在于摒弃“大水漫灌”旧范式,以结构性工具为货币抓手,以增支、强地方、促消费为财政着力点,强化财政与货币政策的深度协同,构建稳增长、调结构、防风险并重的新范式,为“十五五”高质量发展提供坚实的宏观政策支撑。

第一部分 “适度宽松”货币政策新考量
01
我国货币政策的演进脉络与多维关注特征
货币政策是宏观经济调控的核心工具,其导向与实施不仅受到党和国家顶层设计的高度重视,也成为学术界、微观企业持续关注的焦点,其演进脉络清晰反映了我国宏观调控的优化方向。
从政策表述与阶段划分来看,党的十八大以来我国货币政策历经三个关键调整期,形成了循序渐进的调控逻辑。2012-2016年为稳健探索期,政策核心表述为“松紧适度”“灵活适度”;2017-2019年进入中性收紧期,采用“稳健中性”“管住闸门”的调控表述;2020-2023年则为灵活精准期,突出“灵活精准”“精准有力”的操作导向。整体而言,我国货币政策逐步实现从总量调控向结构优化、从数量型工具向价格型工具的转型,服务实体经济的宗旨不断强化,风险防范意识贯穿政策实施全过程,政策协同性持续增强,货币政策工具箱得到丰富与完善。
从政策文本的量化研究视角来看,研究团队借助文本分析方法构建词向量体系,划分货币政策核心词汇、目标词汇与操作词汇,通过词频分析解读政策导向。研究中剔除“服务实体经济”这一高频基础词汇后发现,“风险防控”成为政策文本核心关键词,充分彰显统筹发展与安全的政策理念。“十五五”规划专设章节论述经济安全、金融安全等重要内容,“十三五”“十四五”“十五五”三次国家级规划均对经济金融风险防控予以重点部署,凸显安全发展在货币政策中的核心地位。同时,十九大以来,省级政府工作报告中货币政策相关表述频次快速增长,地方政府对货币政策的关注度与响应度持续提升。
从微观企业层面来看,近十年A股上市公司年报的管理层讨论文本显示,十九大以来企业对宏观流动性、货币政策、利率环境等宏观金融因素的关注度显著上升。从行业分布特征来看,金融业、资金密集型行业对货币政策相关词汇的提及频次更高,这一结果与宏观经济运行的逻辑高度契合,充分印证货币政策对微观主体经营发展的重要影响。
02
两轮“适度宽松”货币政策的时空对比与时代差异
我国历史上两次提出“适度宽松”货币政策,2008-2010年为应对全球金融危机,2024年则面向“十五五”开局宏观调控,二者经济环境、政策目标与实施模式存在本质区别,新时期政策必须走出差异化新路径。
2008-2010年的“适度宽松”货币政策,是应对全球金融危机、国内冰灾与汶川地震等多重冲击的应急之举。这一时期我国经济处于高速增长阶段,2007年GDP增速达13%,CPI为4.8%,前期宏观政策核心目标为“防止经济增长由偏快转为过热、防止价格由结构性上涨演变为明显通胀”。危机爆发后,我国推出积极财政政策与4万亿一揽子刺激计划,搭配“适度宽松”货币政策,以降息、降准等总量型工具大规模投放流动性,地方投融资平台成为基础设施建设与债务融资的核心载体。该政策短期内稳定了经济增长、完善了交通基础设施、增强了经济韧性,但也带来地方政府债务积累、重点行业风险积聚、部分领域产能过剩等非预期效应,核心症结在于政策呈现“大水漫灌”“一刀切”特征,结构化调控工具相对单一。
2024年底重提的“适度宽松”货币政策,面临全新的时代背景与经济矛盾。当前我国经济已转向高质量发展阶段,不再以单一经济增速为核心目标,“十五五”规划明确2035年人均GDP目标对应的经济增速下限为4.17%,政策需兼顾稳增长、调结构、防风险的综合目标。从国内矛盾来看,经济面临内需不足、居民预期不稳、有效需求偏弱的问题,居民储蓄意愿攀升、消费与投资意愿不足;同时肩负新旧动能转换核心任务,2023年中央经济工作会议提出科技、绿色、普惠、养老、数字“五篇大金融文章”,成为金融服务高质量发展的核心方向。从风险防控来看,地方政府隐性债务、部分地区财政收支矛盾、中小金融机构风险、房地产领域遗留问题等风险隐患仍需化解。从外部环境来看,中美贸易摩擦、地缘政治冲突等大国博弈加剧,外部不确定性显著上升。
两轮“适度宽松”货币政策的核心差异,集中体现为调控模式的根本转变:2008年政策以总量激进式宽松为核心,大水漫灌式投放流动性;2024年政策以结构精准式宽松为核心,总量型工具保持审慎,结构性工具成为调控主力,坚决摒弃旧有刺激模式。
03
新时期“适度宽松”货币政策的实施逻辑与落地路径
面向“十五五”开局之年,新时期“适度宽松”货币政策需坚守“稳”字基调,以结构性工具为核心抓手,强化财政与货币政策协同,同时优化金融传导机制,平衡政策效能与风险防控。
总量型货币政策坚持稳字当头、审慎发力,不再简单照搬2008年的激进调控模式。当前我国已进入低利率时代,降息空间相对有限,央行在总量调控上保持克制,为未来政策调整预留充足空间,避免过度刺激引发新的风险累积。同时,货币政策的预期管理功能愈发凸显,十八大以来央行通过政策吹风会、新闻发布会、部长通道等渠道强化与市场的沟通,2024年提出“适度宽松”不仅是政策操作的调整,更是向市场传递清晰的政策信号,引导市场主体形成稳定预期。
结构性货币政策工具成为新时期调控的核心抓手,精准对接“五篇大金融文章”战略要求。与2008年结构化工具相对单一的局面不同,当前央行结构化工具箱丰富完善,科技创新再贷款、技术改造再贷款等工具持续发力,发挥“四两拨千斤”的杠杆作用,引导金融资源向科技、绿色、普惠、养老、数字等重点领域配置。商业银行积极响应政策导向,加大对新动能、新产业的金融支持,推动金融供给侧结构性改革,适配经济转型发展需求。但在实践中,不同类型银行对政策工具的适配度存在差异,中小金融机构面临风险控制与工具应用的双重挑战,需持续优化政策传导机制,提升工具普惠性。
财政政策与货币政策的协同配合,成为新时期政策落地的关键支撑。当前货币政策存在“推绳子”效应,单纯依靠货币调控难以解决有效需求不足等核心问题,需借助积极财政政策撬动社会资本、激活民间投资。当前地方政府面临事权财权不匹配、财政资金结构性错配、收支矛盾突出等问题,需通过财政贴息、减税降费、消费券等工具,与货币政策形成激励相容的协同机制,摒弃行政命令式干预。通过财政资金引导金融资源流向创新领域、新兴产业,创造有效需求,形成需求牵引供给、供给创造需求的良性循环,全面提升政策效能。
从金融传导主体来看,商业银行作为货币政策传导的核心载体,面临总量政策下的经营挑战。持续降息导致商业银行净息差持续收窄,盈利能力承压,部分银行出现风险偏好下沉、业务下沉的现象,可能埋下长期风险隐患。因此,在落实“适度宽松”货币政策中,需同步提升商业银行风险管理与经营能力,保障货币政策传导效率,平衡盈利增长与风险防控的关系。
04
新时期“适度宽松”货币政策的实施逻辑与落地路径
新时期“适度宽松”货币政策的核心要义,可总结为立足于宽,制胜于度,这一表述精准回应了政策的核心内涵与实施关键。
“宽”是当前经济环境的必然选择,从总量层面保障经济增长基本面稳定,为“十五五”中期目标实现、2035年基本实现社会主义现代化、2049年建成社会主义现代化强国提供坚实的货币金融支撑,是宏观调控应对现有经济矛盾的必要举措。
“度”是政策实施的关键核心,以2008年政策实践为鉴,新时期“适度宽松”坚决摒弃大水漫灌的全面刺激模式,坚守精准适度的调控原则。“适度”的把握是政策落地的最大难点,需要央行、金融机构、企业、居民等各类主体共同理解政策导向、锚定调控目标,在稳增长、调结构、防风险之间找到动态平衡。
唯有精准把握“适度”边界,才能充分发挥货币政策的正向效应,最大限度降低政策非预期后果,推动金融更好服务实体经济,为“十五五”时期高质量发展、社会主义现代化建设保驾护航。

第二部分 “更加积极”的财政新内涵
01
财政政策的总体态势
1.宏观经济形势
当前,我国经济呈现出GDP增速稳定、通胀水平低迷的特征。从我国实际GDP的季度增长率来看,近三年较为平稳,2025年增速达到5%,顺利完成全国两会制定的宏观增长目标。从CPI来看,自2023年第一季度起,通胀水平低于传统温和目标水平的2%,在0%左右徘徊。通胀水平过高或过低都会产生负面影响,低通胀意味着需求不足,企业面临订单短缺,投资回报率下降,进而抑制投资、增加非自然失业。因此,宏观经济政策制定应统筹经济增速与通胀水平。

图1 实际国内生产总值(左)和居民消费价格指数(右)
来源:作者整理
2.2026年财政政策总体态势
2026年全国两会将GDP增速目标从5%下调至4.5%-5%,目标下调不代表宏观政策收紧,通胀水平是核心关注变量。宏观经济政策需要考虑政策成本,政策成本不仅体现为赤字率、国债发行规模,还与通胀水平相关。低通胀环境下政府实际债务负担较高,2026年两会明确继续实施更加积极的财政政策和适度宽松的货币政策,有利于经济复苏并降低政策成本。
此外,2025年赤字率首次提高至4%,2026年维持在4%;2026年安排1.6万亿特别国债(其中1.3万亿元为超长期特别国债),较2025年的1.8万亿减少了2000亿元,但按照经济增长后的赤字水平来看,财政支出仍在扩大;新增专项债券维持4.4万亿元;税收政策的重点是拓展地方税源、加快消费税改革。

表1 2022-2026年财政目标
来源:作者整理
02
“积极财政政策”的着力点
1.依托“增支”还是“减税”?
(1)进一步减税的空间不足
我国宏观税负水平较低。从趋势来看,1992年以来我国税收收入占GDP比重先升后降,2012年前后达到峰值,此后持续下降,2024年降至低点,2025年小幅回升。宏观税负下降受多重因素影响,包括2017年以来大规模减税降费政策实施、经济结构转型带来的高新技术企业与小微企业税收优惠加码等。

图2 1992-2024年我国税收占GDP比重
来源:作者整理
(2)规范税收优惠是推动全国统一大市场建设的应有之义。
当前税收优惠政策仍存在碎片化、交叉化和结构性失衡问题,既削弱了政策的公平性与透明性,也在一定程度上导致地区间竞争扭曲和市场分割。据测算,与创新相关的税收优惠已相当于全国企业所得税总规模的近五分之一;小微企业优惠力度持续加大,所得税适用的实际税率从2010年的20%逐步降至2022年后的5%。国际货币基金组织表明,减少对特定企业和行业的优惠待遇,可使总体生产率提高1%以上,进而使中国的GDP增长高达2%。因此,2026年的“积极财政政策”不宜以减税为主要工具,应重点依托增加支出。
2.依托“中央”还是“地方”?
我国财政政策需要发挥中央与地方两个积极性,但当前地方财力紧张问题较为突出。
一是财税体制改革后,财权上收、事权下移,地方一般公共预算收支缺口持续扩大。2025年地方本级收入12.21万亿,地方本级支出24.44万亿,近半数区、县财政自给率不足50%。
二是区域分化显著。东部沿海自给率普遍较高;而中西部及东北省份高度依赖中央转移支付。
三是土地财政收入“腰斩”。地方财力补充高度依赖土地财政,2021年土地出让金收入达到峰值,2025年降至4万多亿元,占地方综合财力比例从近30%降至15%,扣除成本后可支配不足1万亿元。

图3 国有土地使用权出让金收入占全国政府性基金收入比例(2015-2025)

图4 国有土地使用权出让金收入预算占地方综合财力趋势(2015-2025)
四是地方政府债务压力较大。债务分为法定债务与隐性债务,2025年我国隐性债务化解力度超预期,计划化解2万亿元,实际化解3.1万亿元,隐性债务余额从2024年底的10.5万亿元降至2025年底的7.4万亿元。隐性债务快速化解有助于降低地方风险,但也导致地方财力大量用于偿债,难以落实积极财政政策。
因此,2025年积极财政政策主要依靠中央发力,地方作用有限,2026年需要激发地方积极性,提升财政政策实施效果。
3.拉动消费(内需)
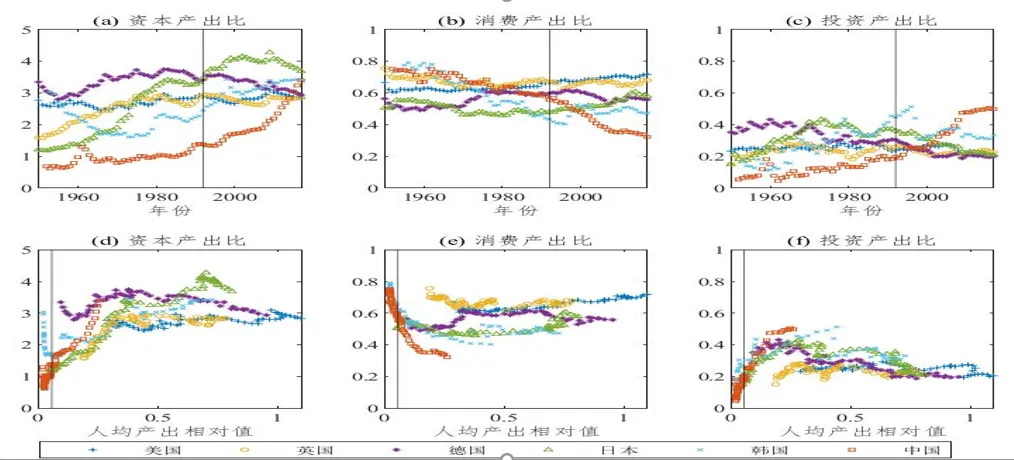
消费不足是我国宏观经济发展的瓶颈。1992年以来,我国资本产出比、投资产出比持续上升,消费产出比持续下降,而美国、英国、韩国、德国、日本等发达国家消费率保持稳定。拉动消费是积极财政政策的核心作用方向,按照经济学相关理论,一是降低居民预防性储蓄动机,二是提高边际消费倾向。

图5 中国与世界主要经济体核心加总变量的历史变动特征
数据来源:PWT 9.1及作者计算;其中人均产出相对值为该国各年人均实际产出相对美国2011年人均实际产出的比值;图中竖线表示1992年(第一行)或者中国人均实际产出相对值在1992年的取值(第二行)
消费(内需)不足受制于多种因素。一是改革开放头几十年重投资、轻消费的体制机制和政策倾向,基本公共服务的均等化水平滞后,具体体现为人口流入地的公共服务不足,以及农村居民月均养老金较低,导致预防性储蓄动机较强。二是城镇化的比重和质量偏低,2025年常住人口城镇化率为67.9%,户籍人口城镇化率为48.3%,与发达经济体差距较大,制约边际消费倾向提升。三是收入不平等程度偏高,虽然近几年基尼系数有所下降,但仍然维持在较高水平,二次收入分配调节力度不足,所得税的收入分配作用较低,转移性支出的力度还不够,影响居民整体消费能力。
因此,2026年积极财政政策发力方向为:一是依托支出端发力;二是激发地方活力,提升地方自主财力、降低偿债压力;三是拉动内需,通过提高社会保障等民生支出降低预防性储蓄动机,通过税制改革提升居民边际消费倾向。
03
“更加积极的财政政策”的内涵
1.支出端发力:财政赤字保持高位,继续扩张政府支出
2026年预算赤字率拟按4%左右安排,赤字规模5.89万亿元、比上年增加2300亿元。特别国债规模1.6万亿元、同比减少0.2万亿元。新增专项债额度4.4万亿元、与上年持平,重点支持建设重大项目、置换隐性债务、消化政府拖欠账款等。广义赤字规模将达13.89万亿元、较去年小幅增加300亿元,广义赤字率同比回落0.5个百分点至9.4%,保持了必要政策力度,也为未来进一步发力预留充足空间。
2.降低预防性储蓄动机:在总量加力的同时,将持续用力优化支出结构,坚持惠民生和促消费、投资于物和投资于人紧密结合
一是更加注重支持提振消费、投资于人、保障民生。二是充分挖掘释放有效投资潜力,探索编制全口径政府投资计划,并聚焦新质生产力、新型城镇化、人的全面发展等重点领域,增强市场主导的有效投资增长动力。
3.提升地方自主财力:进一步扩大支出盘子并靠前发力,同时推动转移支付量质并举,增强地方自主财力和统筹能力
一是中央财政增加对地方财力性转移支付规模。二是开展整合统筹使用转移支付资金试点。过去转移支付分为两类:一般性转移支付和专项转移支付。一般性转移支付给予地方的自主度较高,而专项转移支付有指定用途,导致地方账上可能产生有钱不能花的情况,产生了错配,降低了地方自主财力。如果地方更多依赖于专项转移支付或者地方财力更多由专项转移支付补充,则不利于平抑经济波动。为了解决这个痛点,今年在6个省开展了整合统筹使用转移支付资金试点,给予地方更大的财政自主权。
4.降低偿债压力:继续积极有序化解地方政府债务风险,加快构建统一的政府债务管理长效机制
一是多措并举化解融资平台经营性债务风险,着力解决债务“冰山”问题。二是构建统一的政府债务管理长效机制,首提“统一”,意味着债务口径统一、制度规则统一、监管权责统一,从而实现政府债务的全覆盖管理,为财政可持续提供制度保障。
5.深入推进财税体制改革,推动消费税改革等核心举措落地,健全直接税体系
一是加大财政资源和预算统筹力度,提高国有资本收益收取比例。二是健全地方税体系,推动地方附加税改革、消费税改革等。过去消费税更多为中央税,并且在生产环节征收,改革推进后会为地方提供更大的财力支持。三是健全直接税体系、改善收入分配,这也是未来5-10年重点关注的方向。
综上所述,“更加积极的财政政策”的内涵为:一是支出端发力,赤字水平维持高位、超长期特别国债持续发行。二是提振内需,投资于人,以降低预防性储蓄动机;税制改革、改善分配,增强居民边际消费倾向。三是发挥中央和地方两个积极性,提高地方自主财力,降低地方偿债压力。
延伸阅读
围绕“十五五”时期的政策协同发展,“大金融思想沙龙”第273期与会嘉宾围绕货币政策协同发力、宏观税负优化、地方财力提升等核心议题展开深入探讨。
香港中文大学(深圳)公共政策学院经济学实践教授、国际合作副院长、香港国际金融学会主席肖耿从国际视角分享对“十五五”开局年财政与货币政策的观点。他表示,中国按购买力平价已成为全球最大经济体,货币政策与财政政策需与美国对标,核心矛盾在于过去5-8年中美资产端出现严重失衡——美国资产快速膨胀,中国资产持续收缩,导致中国在全球贸易与投资中处于被动。他认为,“十五五”需实施更加积极的财政政策与适度宽松的货币政策,重点解决资产负债失衡与历史债务问题。一是要推动合理通胀与资产重估,以此平衡资产端与负债端,破解地方政府负资产困境。重视房地产价值重估是债务与资产平衡的关键。二是化解地方政府债务,建议由中央政府顶层设计,让地方政府恢复可持续财政收支,减轻对民营企业的税费压力,改善市场活力。三是推动人民币合理升值与国际化,缩小中美价格水平差距,降低美元通胀贬值带来的结构性冲击。他强调,中国具备经济实力实现上述调整,需转变地方政府、企业与家庭行为,以资产重估与债务重构支撑“十五五”高质量发展。
中国财政科学研究院公共收入研究中心研究员梁季围绕2026年积极财政政策、宏观税负与地方财力问题展开分析,一是2026年积极财政政策支出总量维持高位,赤字、政府债券及中央对地方转移支付均创新高,支出结构持续优化,重点保障科技与民生投入,严控行政支出,并强化财政、金融、产业政策协同以放大乘数效应;二是我国小、中、大口径宏观税负近年持续大幅下降,主要是由减税降费、物价低位运行、新旧动能转换期传统税源不振与新税未能补上等原因所致。宏观税负下降在支撑积极财政的同时也一定程度上制约了未来积极财政政策的空间,因此“十五五”需重点研究如何保持合理宏观税负;三是增强地方财力、健全地方税体系需要在新的形势背景下统筹考虑研究。当前,全国地方一般公共预算支出超过全国一般公共预算收入,中央对地方转移支付规模大于中央本级收入,在这种背景下增强地方财力需要从两方面发力:一是在促进经济高质量发展中、扩大内需的基础拓展地方税源;二是在统筹整合转移支付、提高地方对转移支付资金统筹能力的基础上,增强地方财力。
长江证券首席经济学家伍戈围绕财政与货币政策协同展开分析,核心聚焦政策目标与工具的关系、2026年经济形势判断及政策分工协同三大要点。一是厘清政策目标与工具宏观政策的核心是实现量价协调统一,当前主要矛盾是物价持续低位。政策工具必须服务于稳增长、稳物价目标。在价格真正止跌回稳、企业利润与市场信心未充分恢复前,建议逆周期政策不宜减弱。二是对本年度经济形势与政策判断,2026年出口高增支撑GDP,外部供给冲击推动物价回升,但这并非内需拉动。成本冲击容易压制中下游企业盈利,需警惕需求偏弱的现象,政策应继续降低融资成本、保障弱势群体。三是财政与货币的分工协同,财政侧重结构性调整,刚性强、易上难下;货币侧重总量调控,更灵活市场化。当前核心协同点在于财政大规模发债化债时,央行应着力压低长期利率,做好长短期的久期匹配,避免边界模糊,真正实现政策协同增效。
注:本文系中国人民大学国际货币研究所研究报告,编号IMI Report No.2605,发布于“大金融思想沙龙”第273期,作者:高昊宇(中国人民大学财政金融学院教授、银行业研究中心副主任)、李戎(中国人民大学财政金融学院教授)
观点整理:任文翔、孙嘉祺、季致远、马艺萌
监制:安然
版面编辑|卢思彤
责任编辑|阎奕舟、孔姝潼
主编|朱霜霜
近期热文
