食品一志愿落榜也能调剂双一流!23所双一流高校25年调剂信息汇总(08皆可调)点击可查看
食品考研低分调剂!2025年B区23所院校大汇总,调剂信息66条
食品加工与安全(食品与营养)调剂全网最全指南!(2026版)
食品工学(08)低分A区调剂,全国70多所双非院校调剂信息汇总(2026)



https://yz.szu.edu.cn/info/1041/14396.htm


https://yz.snnu.edu.cn/tzgg/ssyjszs.htm


https://yjsy.csuft.edu.cn/info/1201/28551.htm


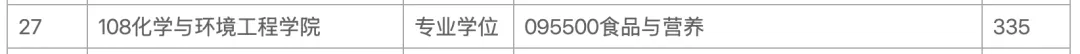
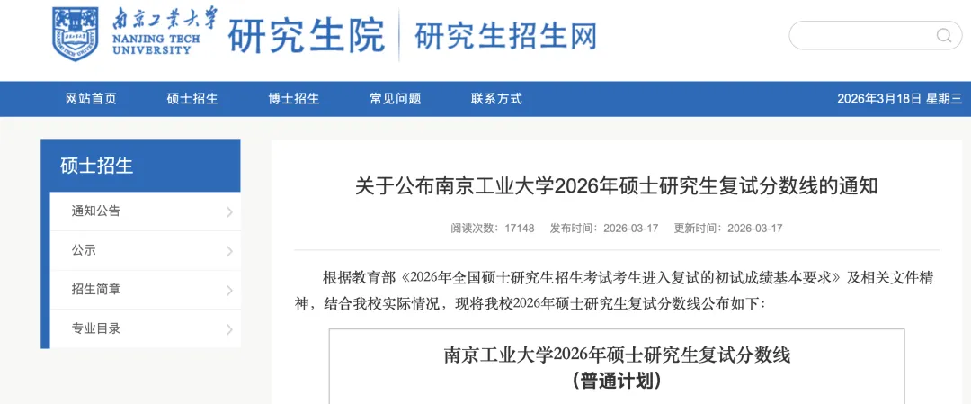
https://gra.njtech.edu.cn/zsw/info/1021/1621.htm

http://yzb.hit.edu.cn

四、联系方式【进群获取】
解释一下:为什么不直接发联系方式,因为去年教育部不让公开提前调剂,去年发布的调剂信息,都责令被删除,所以,只提供调剂信息,暂不放出课题组信息和联系方式。
详情更多信息,可加入26食品考研调剂信息VIP群

